本站首页
财务服务
部门介绍
政策法规
校内制度
下载中心
办事指南
部门党务公开
学校首页
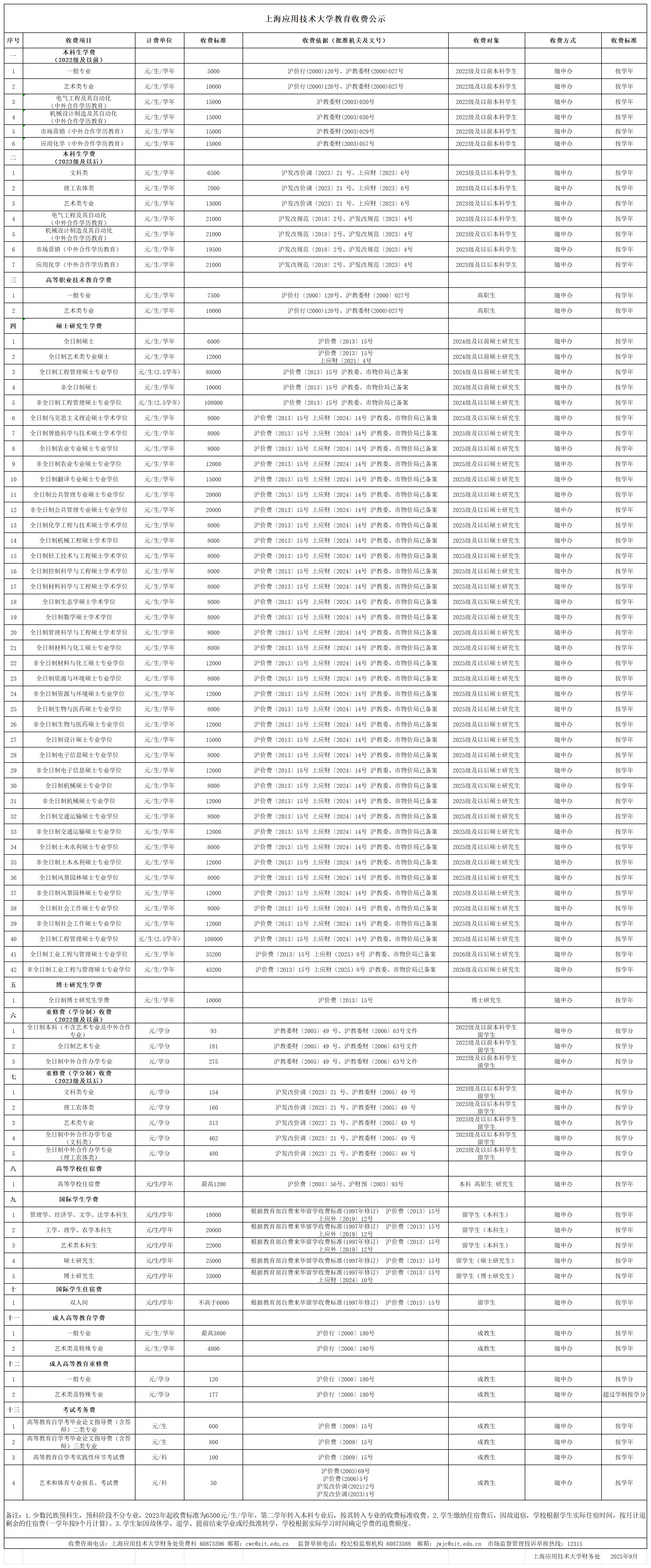
教育收费项目公示更新(2025)
发布时间:
2025-09-12
浏览次数:
10
教育收费项目公示更新(2025).pdf
上海应用技术大学版权所有 学校地址:上海奉贤区海泉路100号 邮编:201418 电话:021-64941200
Copyright © by Shanghai Institute of Technology. All rights reserved.